Приобретение продукты питания на 2018 » КГКП "Ясли сад №116"
Алматы қаласы Білім басқармасының
«№116 бөбекжай-балабақшасы»
коммуналдық мемлекеттік қазыналық кәсіпорны
Меңгеруші :
+7(727) 248-43-58
Әдіскер:
+7(727) 248-10-93
Нашар көрушілер
нұсқасы
» » Приобретение продукты питания на 2018
04
мамыр
2018

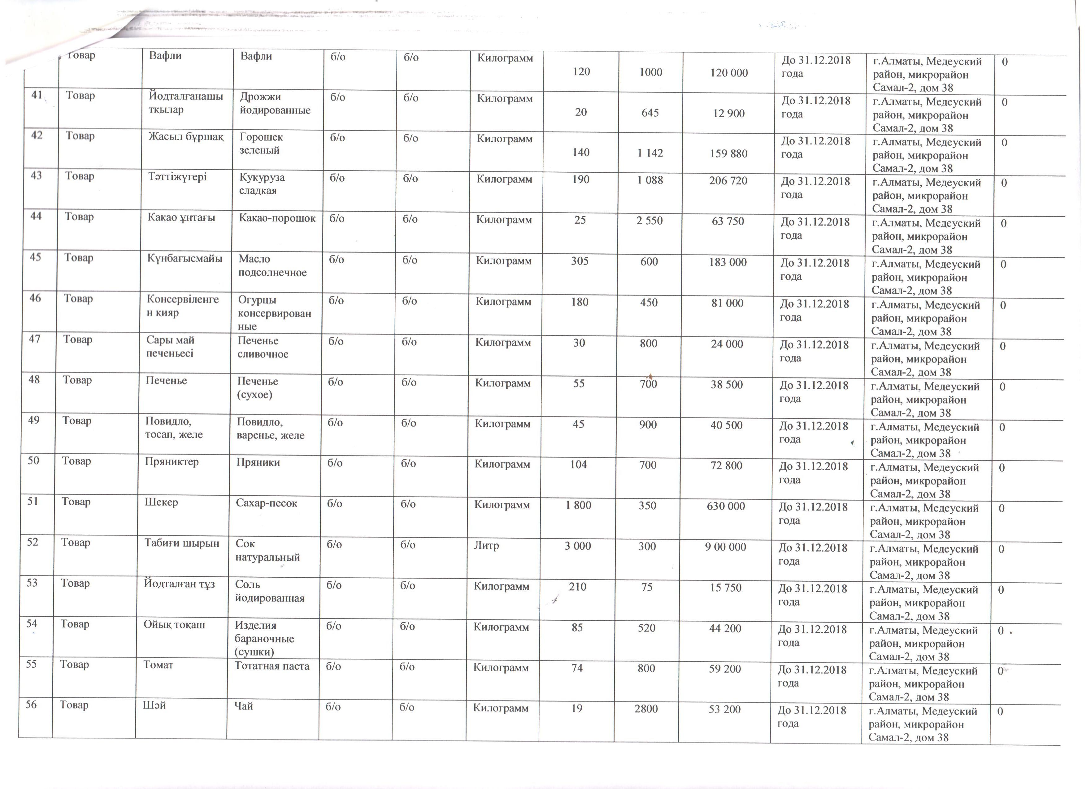
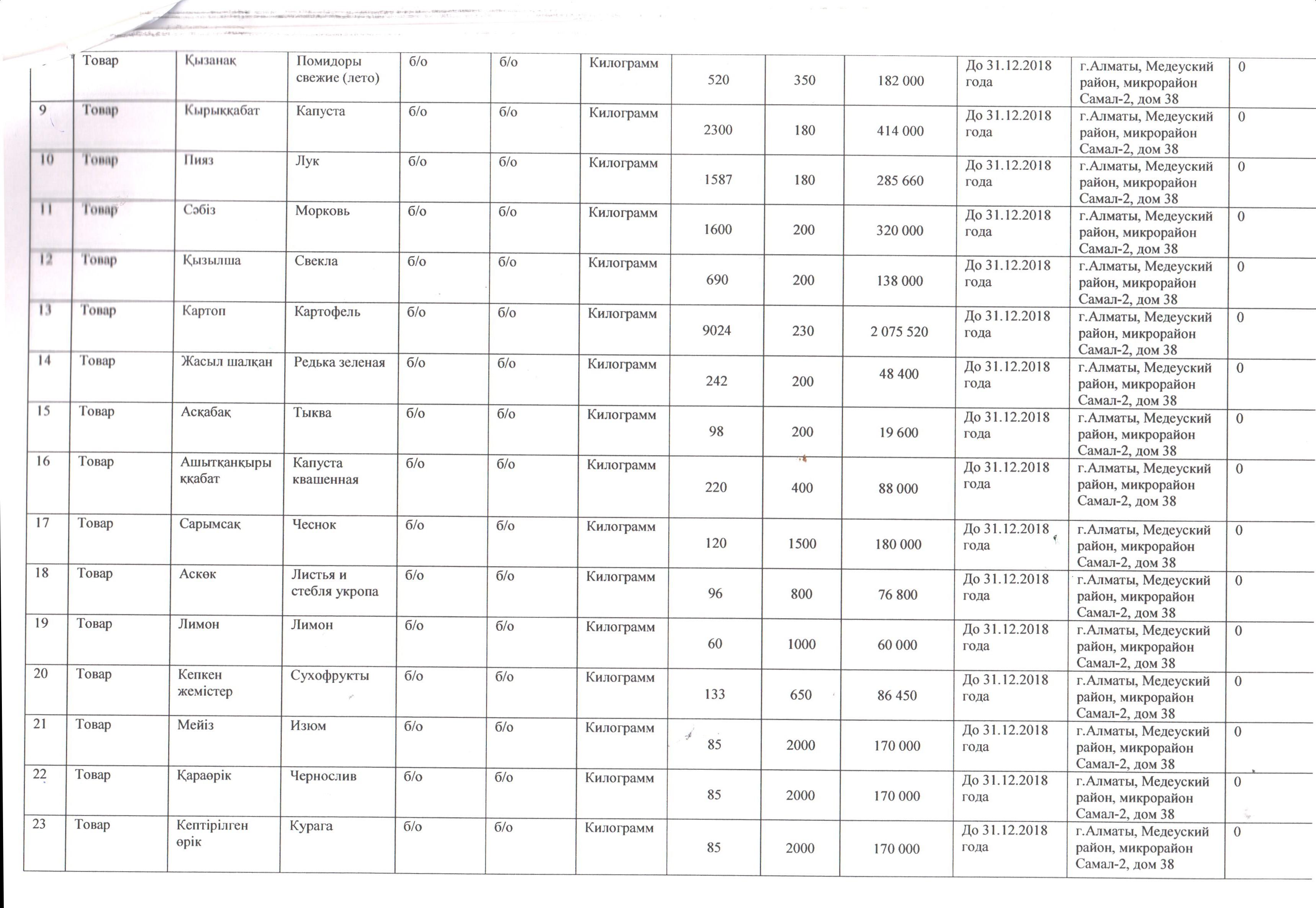
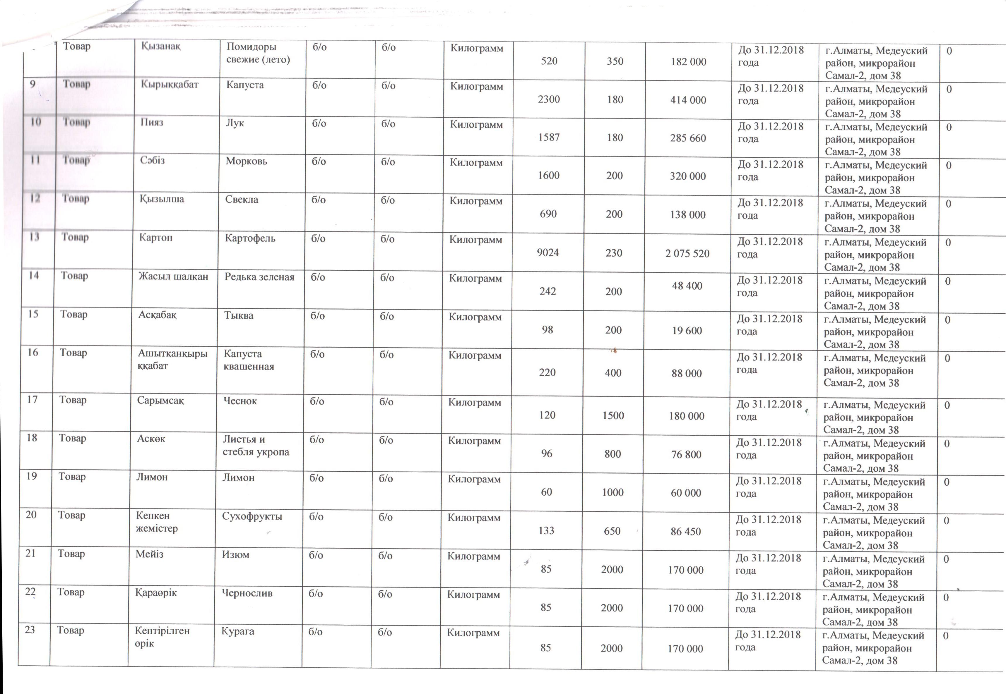
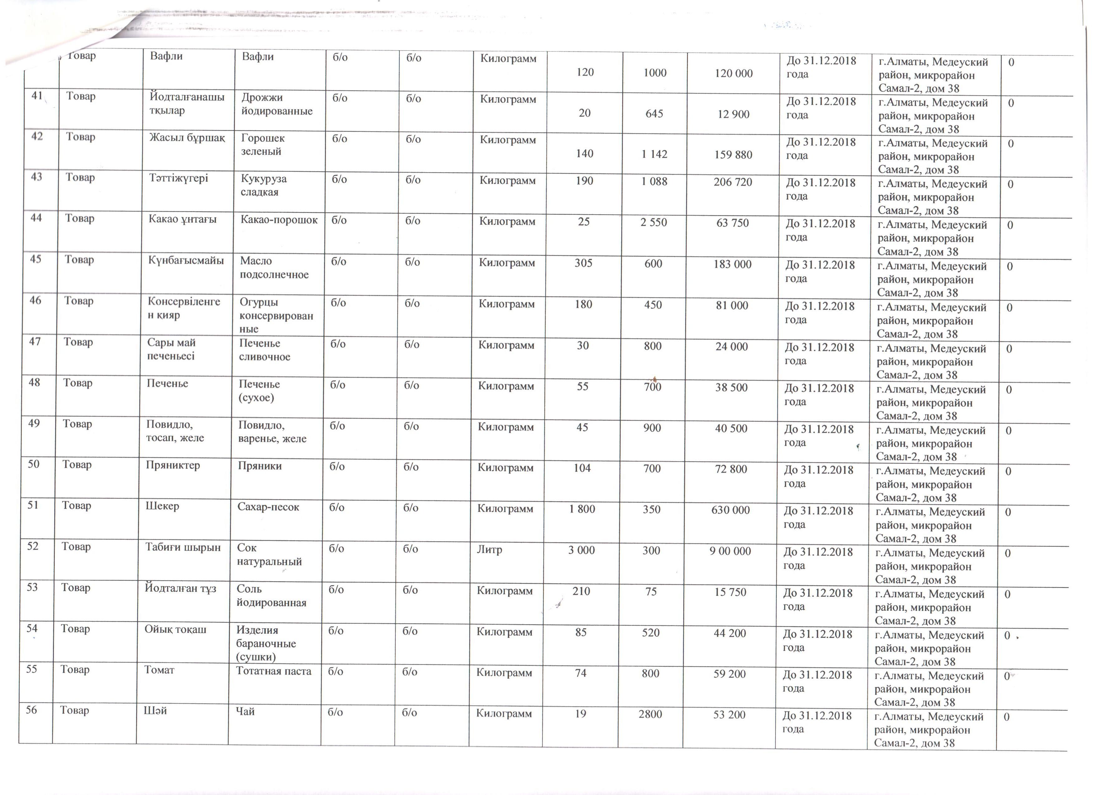
Приобретение продукты питания на 2018

Приобретение продукты питания на 2018

 

Приобретение продукты питания на 2018

 

Приобретение продукты питания на 2018

 

Приобретение продукты питания на 2018

 

Приобретение продукты питания на 2018

 

Приобретение продукты питания на 2018

 

Прокомментировать
  • bowtiesmilelaughingblushsmileyrelaxedsmirk
    heart_eyeskissing_heartkissing_closed_eyesflushedrelievedsatisfiedgrin
    winkstuck_out_tongue_winking_eyestuck_out_tongue_closed_eyesgrinningkissingstuck_out_tonguesleeping
    worriedfrowninganguishedopen_mouthgrimacingconfusedhushed
    expressionlessunamusedsweat_smilesweatdisappointed_relievedwearypensive
    disappointedconfoundedfearfulcold_sweatperseverecrysob
    joyastonishedscreamtired_faceangryragetriumph
    sleepyyummasksunglassesdizzy_faceimpsmiling_imp
    neutral_faceno_mouthinnocent
Введите код с картинки:* Кликните на изображение чтобы обновить код, если он неразборчив